Cyrus IMAP Murder (Server Aggregation)

A Cyrus IMAP Murder consists of a group of Cyrus IMAP servers functioning as one large, transparent IMAP cluster.

In a Cyrus IMAP Murder, one or more servers with a frontend role receive client connections, and proxy connections through to one of the servers with a backend role -- these host the payload for the cluster -- on the basis of where the current mailbox selected resides.

This makes access to mailboxes transparent to the client, even though different mailboxes to which the user has access reside on different servers.

To illustrate, let John's IMAP client connect to imap.example.org:

digraph john {
        rankdir = LR;
        splines = true;
        overlab = prism;

        edge [color=gray50, fontname=Calibri, fontsize=11];
        node [shape=record, fontname=Calibri, fontsize=11];

        "Desktop Client" -> "imap.example.org" [label="Client Connection"];
    }

John's mailbox may not reside on the node that the client connects to, though, and instead be located on a backend node -- as is typical for larger deployments.

The client connection is therefore to be proxied to the appropriate backend node.

digraph john {
        rankdir = LR;
        splines = true;
        overlab = prism;

        edge [color=gray50, fontname=Calibri, fontsize=11];
        node [shape=record, fontname=Calibri, fontsize=11];

        "Desktop Client" -> "imap.example.org" [label="Client Connection"];
        "imap.example.org" -> "backend1.example.org" [label="Proxied Connection"];
    }

It is not at all uncommon to (reverse) proxy client connections like this (a task that imap.example.org takes on in this example).

In the case of webservers for example, reverse proxying is a very common practice:

digraph www {
        rankdir = LR;
        splines = true;
        overlab = prism;

        edge [color=gray50, fontname=Calibri, fontsize=11];
        node [shape=record, fontname=Calibri, fontsize=11];

        "Desktop Browser" -> "http://www.example.org/" [label="Client Connection"];

        "http://www.example.org/" -> "assets1.example.org" [label="Static Content"];
        "http://www.example.org/" -> "www1.example.org" [label="Dynamic Content"];
    }

In the case of reverse web proxies, the proxy looks at (for example) the request URI, and based on a set of rules, forwards (proxies) the request on to the appropriate (internal) node. This architecture allows application servers (www[0-9]+.example.org) to be scaled up and down by application processing needs separately from the few web servers typically needed to serve static files such as images and scripts (that require no server-side processing).

In the case of IMAP, a commonly used IMAP proxy is NGINX. However, NGINX can proxy John's connection to only one backend at a time. NGINX allows an external script to respond with a target backend address based on the authentication of the user.

As such, NGINX is a socket proxy, and not a fully-featured application proxy:

digraph joe {
        rankdir = LR;
        splines = true;
        overlab = prism;

        edge [color=gray50, fontname=Calibri, fontsize=11];
        node [shape=record, fontname=Calibri, fontsize=11];

        "imap.example.org" [label="imap.example.org\n(NGINX)"];
        "backend1.example.org" [label="backend1.example.org\n(user/john)"];
        "backend2.example.org" [label="backend2.example.org\n(user/jane)"];
        "Desktop Client" -> "imap.example.org" [label="Client Connection"];
        "imap.example.org" -> "backend1.example.org" [label="Proxied Connection",color="green"];
        "imap.example.org" -> "backend2.example.org" [label="Not Available",color="red"];
    }

This means that John could not open a mailbox that does not reside on the same backend node his client connection is proxied to, and John nor Jane can share their mailboxes with one another [1].

For the proxy to be fully-featured, the proxy would need to catch all IMAP commands that John's client issues [2], and determine what is the most appropriate backend to serve the request -- not unlike the aforementioned web proxies.

So, when John's client issues a SELECT INBOX, the connection is to be proxied to backend1.example.org, but when John's client is to issue a SELECT "Other Users/jane", the connection is to be proxied to backend2.example.org.

This is where the Cyrus IMAP Murder functionality kicks in:

  • Mailbox location data is maintained through a central MUPDATE server.

    Each backend submits its list of local mailboxes when it starts up, and maintains new, renamed and deleted mail folders, and Access Control List (ACL) changes while running.

  • The MUPDATE server replicates its aggregated database from across all backends to all nodes with a frontend role.

  • Nodes with a frontend role capture connections on the protocol level and decide where the connection needs to be proxied to

  • Nodes with a frontend role also arbiter between backends when a message is moved from John's INBOX to Jane's INBOX or vice-versa.

Use-Cases for the Cyrus IMAP Murder

  • Transparent access to content distributed over multiple (backend) nodes,

  • Sharing content distributed over multiple nodes (calendars, address books, mail folders),

  • High-availability and/or load-balanced frontends,

  • Transport Layer Security termination, so frontends do connection encryption and backends spend CPU cycles on mailboxes.

  • Access Control enforcement at the perimeter

Administrators of larger infrastructures will be aware of the fact that vertical scaling a single node only stretches so far.

When mail environments are to serve many thousands of users' mailboxes (or more), multiple nodes are put to purpose, effectively scaling horizontally rather than vertically.

In such environments it is likely that multiple backends are used to store mailboxes, and depending on the requirements for the environment, users with mailboxes distributed over these backends may be required to share content with one another -- shared folders.

Should John be required to be able to share one or more of his mailboxes with Jane, or vice-versa, one could attempt to ensure both users' mailboxes reside on the same backend node (read: both users' client connections are proxied to the same backend node).

In larger environments however (again), users that are required to be able to share content often results in groups of several dozens, hundreds or even thousands, making it very, very hard to maintain.

Cyrus IMAP Murder Topologies

A Cyrus IMAP Murder topology serves the need to aggregate the mailboxes hosted by more than one Cyrus IMAP server with the backend role.

Cyrus IMAP can do so in either one of three topologies:

  1. Discrete Murder

    The frontend and backend servers are separate.

  2. Replicated Murder

    All backends have access to all mailboxes.

  3. Unified Murder

    There's no distinction between backends and frontends, and all backends perform frontend roles, but not all frontends are automatically also backends.

Note

In the context of a Cyrus IMAP Murder, the terms frontend and backend are server roles, and while these roles may be performed by separate servers, such as in a Discrete Murder, but they need not be, such as in a Unified Murder.

All Cyrus IMAP Murder topologies exchange information about where mailboxes reside through the MUPDATE protocol (RFC 3656).

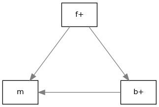
Discrete Murder

The simplest discrete murder topology puts each role on one or more separate systems;

  • the MUPDATE master (m),

  • one or more frontend servers (f),

  • one or more backend servers (b).

Each of the systems communicates with one another via the following connection model:

digraph {
        rankdir=LR;
        nodesep=2;

        splines = true;
        overlab = prism;

        edge [color=gray50, fontname=Calibri, fontsize=11];
        node [shape=record, fontname=Calibri, fontsize=11];

        "m" -> "f+" [dir=back];
        "m" -> "b+" [dir=back];

        "f+" -> "b+";
    }

Connection model for a Discrete Murder topology

  1. A frontend (f) connects to the mupdate (m) master server and receives updates from the mupdate master server.

    The frontend continues to receive updates about deleted, renamed or created mailboxes for as long as the connection from the frontend to the mupdate master server exists.

    The frontend reconnects if the connection is interrupted.

  2. A backend connects to the mupdate master server and pushes updates to the mupdate server.

    A backend reconnects to the mupdate master server as needed.

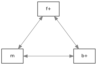
Murder Backend Startup Process

digraph {
        rankdir=LR;
        nodesep=2;

        splines = true;
        overlab = prism;

        edge [color=gray50, fontname=Calibri, fontsize=11];
        node [shape=record, fontname=Calibri, fontsize=11];

        "m" -> "f+" [color=white];
        "m" -> "b+" [color=red,dir=back,label="(1)"];

        "f+" -> "b+" [color=white];
    }

Communication during Backend startup (1)

digraph {
        rankdir=LR;
        nodesep=2;

        splines = true;
        overlab = prism;

        edge [color=gray50, fontname=Calibri, fontsize=11];
        node [shape=record, fontname=Calibri, fontsize=11];


        "m" -> "f+" [color=red,label="(2)"];
        "m" -> "b+" [color=green,dir=back,label="(1)"];

        "f+" -> "b+" [color=white];
    }

Communication during Backend startup (2)

  1. The backend (b) pushes its list of mailboxes to the mupdate master (m) using ctl_mboxlist -m.

    The list of local mailboxes on the backend is routinely compared with the current state of the rest of the murder topology;

    • Mailboxes that exist locally but are not in MUPDATE are pushed to the mupdate master server.

    • Mailboxes that exist locally but for which the mupdate master server has an entry for the mailbox to live on a different server are deleted locally.

      Note

      Additional options to ctl_mboxlist allow the deletion to be prevented.

    • Mailboxes that do not exist locally but exists in MUPDATE as living locally are removed from the mupdate master server.

  2. The mupdate (m) master server pushes updates to the existing list of mailboxes to the frontend (f) server.

digraph {
        rankdir=LR;
        nodesep=2;

        splines = true;
        overlab = prism;

        edge [color=gray50, fontname=Calibri, fontsize=11];
        node [shape=record, fontname=Calibri, fontsize=11];

        "m" -> "f+" [dir=both];
        "m" -> "b+" [dir=both];

        "f+" -> "b+" [dir=both];
    }

Replicated Murder

Note

This section needs to be written. Would you like to help out?

Unified Murder

Note

This section needs to be written. Would you like to help out?

Back to Features

Footnotes